Processando...

Simulado STF | Analista Judiciário – Estatística | CONCURSO

Simulado STF | Analista Judiciário – Estatística

SIMULADO STF | ANALISTA JUDICIÁRIO – ESTATÍSTICA

INSTRUÇÕES DESTE SIMULADO

OBJETIVOS DO SIMULADO
Aprimorar os conhecimentos adquiridos durante os seus estudos, de forma a avaliar a sua aprendizagem, utilizando para isso as metodologias e critérios idênticos aos maiores e melhores concursos públicos do País, através de simulado para concurso, prova de concurso e/ou questões de concurso.

PÚBLICO ALVO DO SIMULADO
Candidatos e Alunos que almejam sua aprovação no concurso STF para o cargo de Analista Judiciário – Estatística .

SOBRE AS QUESTÕES DO SIMULADO
Este simulado contém questões de concurso da banca Cespe para o concurso STF. Estas questões são especificamente para o cargo de Analista Judiciário – Estatística , contendo Matérias Diversas que foram extraídas de concursos públicos anteriores, portanto este simulado contém os gabaritos oficiais do concurso.

ESTATÍSTICA DO SIMULADO
O simulado STF | Analista Judiciário – Estatística contém um total de 20 questões de concursos com um tempo estimado de 60 minutos para sua realização. O assunto abordado é diversificado para que você possa realmente simular como esta seus conhecimento no concurso STF.

RANKING DO SIMULADO
Realize este simulado até o seu final e ao conclui-lo você verá as questões que errou e acertou, seus possíveis comentários e ainda poderá ver seu DESEMPENHO perante ao dos seus CONCORRENTES. Venha participar deste Ranking e saia na frente de todos. Veja sua nota e sua colocação no RANKING e saiba se esta preparado para conseguir sua aprovação.

Bons Estudos! Simulado para Concurso é aqui!


#64739
Banca
CEBRASPE-CESPE
Matéria
Matérias Diversas
Concurso
STF
Tipo
Certo/Errado
Comentários
Seja o primeiro a comentar
difícil

(1,0) 16 - 

Considere que a amostra aleatória simples X1, X2, ..., Xn tenha sido retirada de uma distribuição exponencial com função de densidade na forma f(x) = ?exp(–?x), em que x > 0 e ? > 0. Com relação a essa amostra e à inferência estatística, julgue o item que se segue. A função de distribuição acumulada da estatística de ordem X(n) = max{X1, X2, ..., Xn} é P(X(n) ? x) = 1 -e-?nx .

#64740
Banca
CEBRASPE-CESPE
Matéria
Matérias Diversas
Concurso
STF
Tipo
Certo/Errado
Comentários
Seja o primeiro a comentar
difícil

(1,0) 17 - 

Considere que a amostra aleatória simples X1, X2, ..., Xn tenha sido retirada de uma distribuição exponencial com função de densidade na forma f(x) = ?exp(–?x), em que x > 0 e ? > 0. Com relação a essa amostra e à inferência estatística, julgue o item que se segue. 

De acordo com o teorema limite central, a soma segue uma distribuição normal.

#64741
Banca
CEBRASPE-CESPE
Matéria
Matérias Diversas
Concurso
STF
Tipo
Certo/Errado
Comentários
Seja o primeiro a comentar
difícil

(1,0) 18 - 

Julgue o item seguinte , relativo à técnica de amostragem.

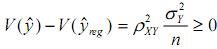
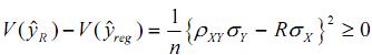
Considerando os estimadores  = média amostral; = estimador regressão para a média populacional e  = estimador razão para a média populacional, e sabendo que  e que  ,é correto afirmar que , somente se cov(X, Y ) < 0,5R V(X),em que R é a razão populacional entre e Y e X.

#64742
Banca
CEBRASPE-CESPE
Matéria
Matérias Diversas
Concurso
STF
Tipo
Certo/Errado
Comentários
Seja o primeiro a comentar
difícil

(1,0) 19 - 

Julgue o item seguinte , relativo à técnica de amostragem.

Considere que um tribunal pretenda pesquisar a respeito do tempo médio em que processos dos tipos A e B são solucionados. Nesse cenário, supondo que os processos do tipo A sejam solucionados quase todos no mesmo tempo  , que os do tipo B sejam solucionados com maior variabilidade  , que se escolham n processos de cada tipo e que o tamanho amostral seja desprezível com relação ao tamanho populacional, é correto afirmar que a amostragem estratificada minimiza a variância da estimativa da média de tempo dos processos se comparada com a amostragem aleatória simples com reposição.

#64743
Banca
CEBRASPE-CESPE
Matéria
Matérias Diversas
Concurso
STF
Tipo
Certo/Errado
Comentários
Seja o primeiro a comentar
difícil

(1,0) 20 - 

Julgue o item seguinte , relativo à técnica de amostragem.


Suponha que um caso polêmico esteja sendo julgado por um tribunal e que, para avaliar a proporção de pessoas na população favoráveis ao resultado positivo nesse processo, o tribunal decida fazer uma enquete. Nesse caso, para se calcular o tamanho da amostra que responderá à enquete, será necessário conhecer o tamanho da população.